DEC 29, 2015 - A source inside the Florida Department of Corrections said on condition of anonymity, "This book could cause a prison riot!" Another department official cited this rationale for the ban: "It's a true story, right?" "Right." "That would have been one of the reasons…had it been a novel or fiction it would've been OK."
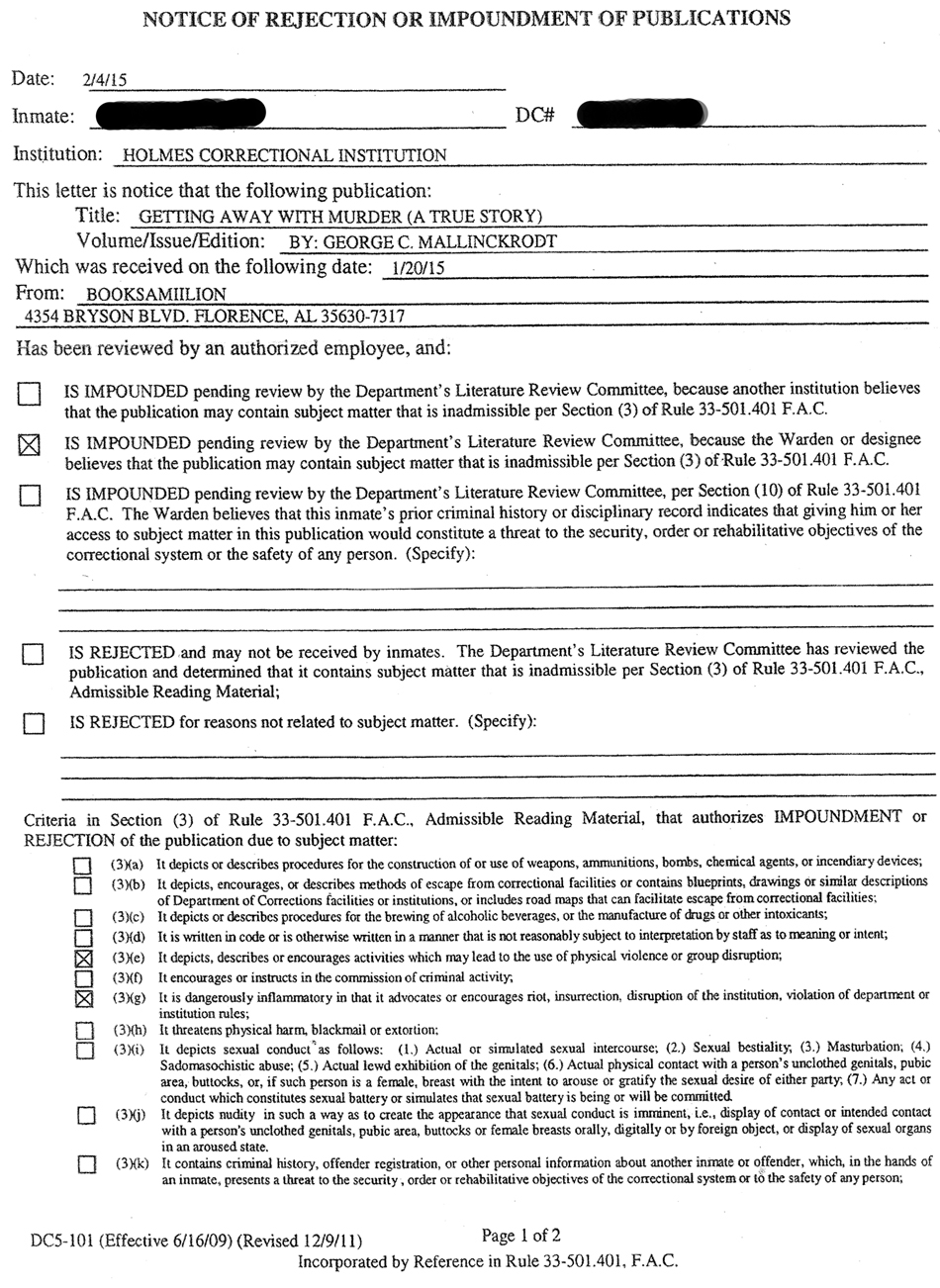
George's Note: The package the FDC sent me included 12 copied pages from Getting Away With Murder to substantiate their claims that my book "depicts, describes, or encourages activities which may lead to the use of physical violence or group disruption." Another false assertion the FDC made about GAWM was that "it is dangerously inflammatory in that it advocates or encourages riot, insurrection, disruption of the institution…" I never encouraged anybody to start a prison riot in my book! Finally, the DOC claims my book "presents a threat to the security, good order, or discipline of the correctional system or the safety of any person." The only "threat to the security, good order, or discipline" is the DOC itself and the fact that Secretary Julie Jones continually glosses over the 800-pound gorilla in the room: The deeply embedded culture of brutality and secrecy.
A malevolent minority of thuggish guards constantly badger, taunt, torment, and disrespect inmates. If inmates complain, they're retaliated against. One captain was quoted as saying, "If an inmate is smiling, I'm not doing my job." Please show me any job description for prison guard where it says, Duties: Keep inmates from smiling. Secretary Jones points to the increase in inmate-on-guard assaults as justification for hiring more guards, but never tells lawmakers the real reason for the increase in violence: Disrespectful attitudes of guards. I always treated my patients with respect when I worked in the psychiatric ward at the Dade Correctional Institution—they paid me back in kind. I never had one incident where a patient treated me disrespectfully. "Treat others as you would have yourself treated" is a sentiment these Neanderthal guards never embraced. Shuffle back to your caves.
Then there are those guards that take it to another level like the guards that scalded Darren Rainey to death. The Florida Department of Corrections is riddled with amoral, sadistic psychopaths and administrators who enable, support, and cover up their crimes. Will Secretary Jones ever get it? She wants more money to hire additional guards, but until the culture of brutality is surgically removed, adding more guards is like reloading the gun. What she doesn't want to hear is the "nuclear option" I suggest in the 2nd Edition of Getting Away With Murder. Namely, transferring the grievance process from the FDC to an independent agency. As it stands now, unscrupulous guards and administrators have completely hijacked the inmate grievance process. If inmates knew they wouldn't be retaliated against for grievances on brutish guards, we would hear of atrocities that make the Miami Herald stories seem like kindergarten fare. |